英飞凌FF300R08W2汽车用EasyPACK 2B EDT2模块,设计用于开关频率在10kHz范围内的应用。EasyPACK封装符合汽车应用标准,并根据AQG 324进行了验证。
高功率循环能力、高爬电距离和电气间隙,提高了产品的可靠性。该电源模块包括用于信号端子的PressFIT引脚,可避免在选择性钎焊工艺上的额外耗时。
特性
- 电气特性
- 阻断电压:750V
- 低VCEsat
- 低开关损耗
- 低QG和Crss
- 低电感设计
- Tvjop=150°C
- 机械特性
- 4.2kV直流1秒绝缘
- 大爬电距离和电气间隙
- 功率密度大
- 集成NTC温度传感器
- PressFIT触点技术
- 符合RoHS指令
- UL 94 V0模块架构
应用
- 牵引逆变器
- 电动汽车 (EV) 传动系统
- 商业、建筑和农用车辆:
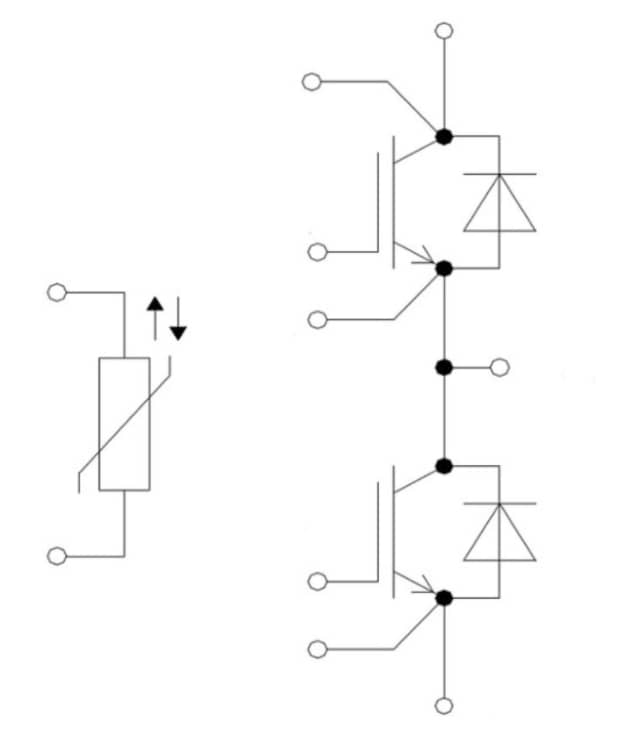
电路图
发布日期: 2021-09-18
| 更新日期: 2022-03-11

