Infineon Technologies FF600R12KE4P 1200 V 600 A双IGBT模块

英飞凌FF600R12KE4P 1200V 600A双IGBT模块具有低开关损耗和低VCEsat 。该器件坚固耐用,爬电距离和电气间隙大。FF600R12KE4P具有最高功率密度、隔离式基板和标准外壳(带预涂热界面材料)。该器件非常适合用于大功率转换器、电机驱动器、UPS系统和风力涡轮机。FF600R12KE4P通过了UL/CSA认证,具有UL1557和E83336。

特性

  • 扩展工作温度Tvj op
  • 低开关损耗
  • 低VCEsat
  • 出色的稳定性
  • VCEsat,正温度系数
  • 绝缘:4kV AC 1分钟
  • CTI>400封装
  • 大爬电距离和电气间隙
  • 高功率密度
  • 隔离式基板
  • 标准封装
  • 预涂热界面材料

应用

  • 大功率转换器
  • 电机驱动器
  • 不间断电源系统
  • 风力发电机

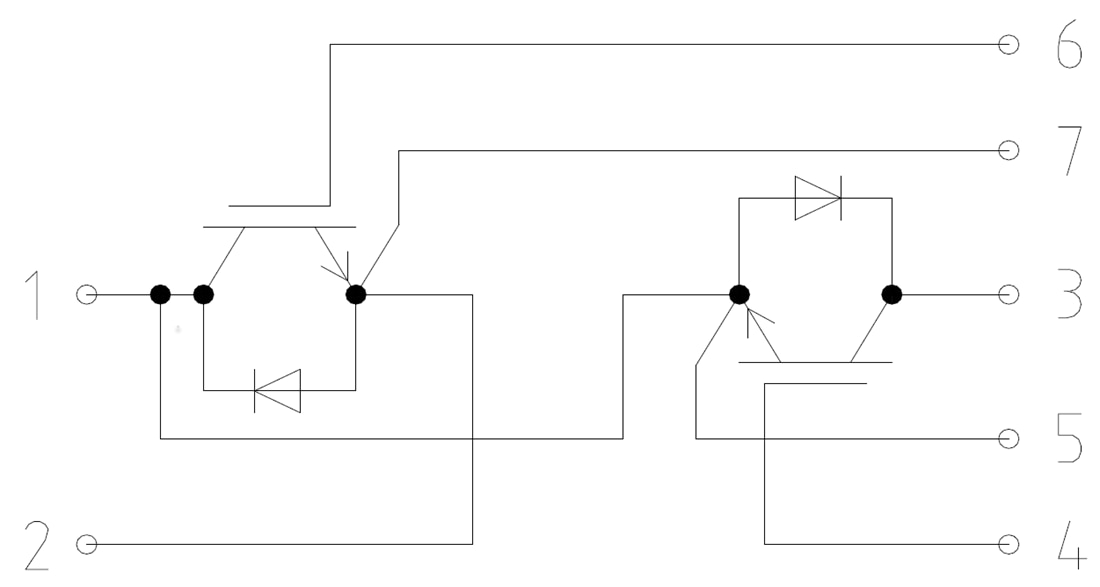
电路图

应用电路图 - Infineon Technologies FF600R12KE4P 1200 V 600 A双IGBT模块
发布日期: 2020-04-09 | 更新日期: 2024-10-14