KEMET KC-LINK™ DC-LINK、缓冲器和谐振器MLCC
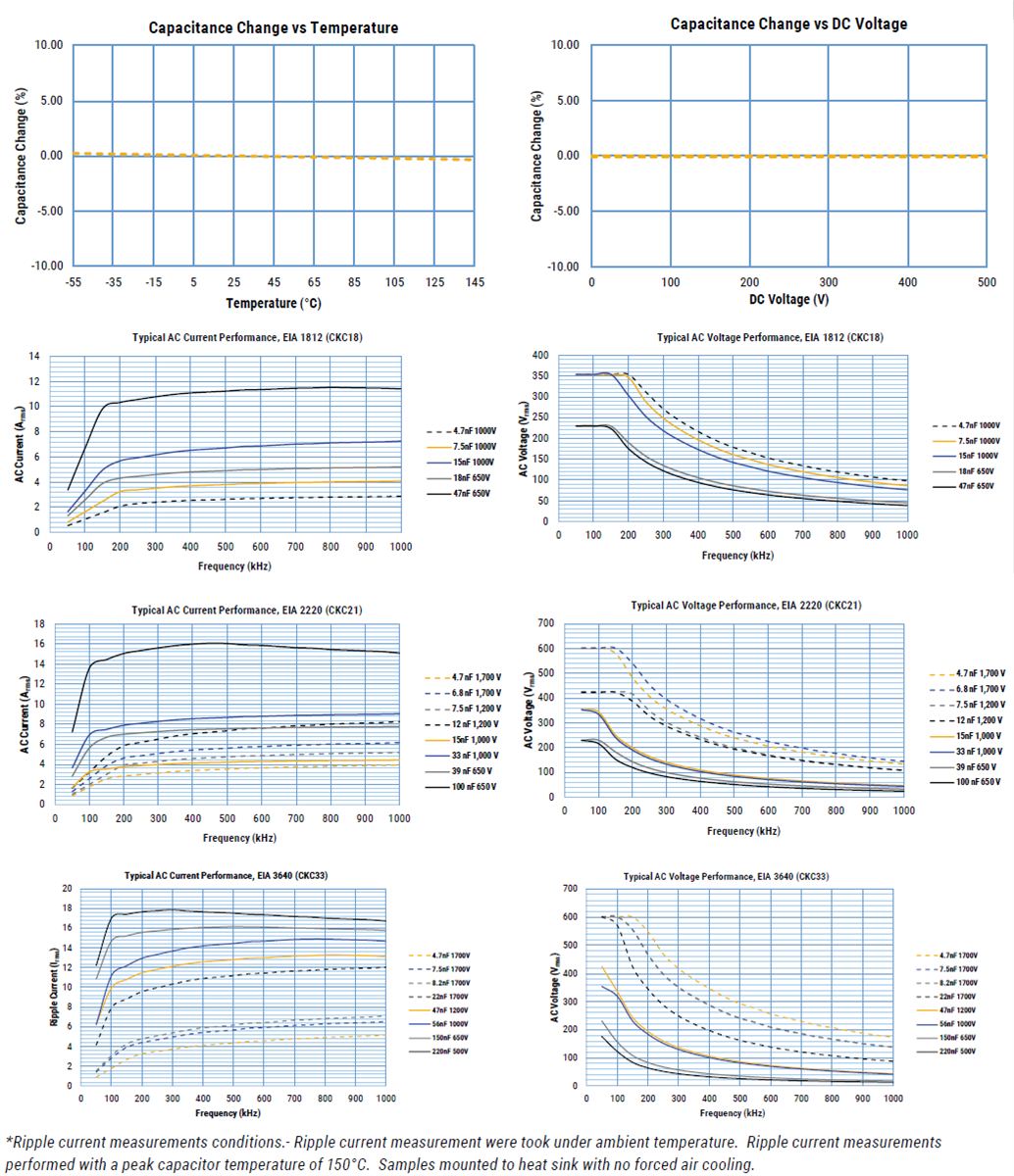
KEMET KC-LINK™ DC-LINK、缓冲器和谐振器MLCC是表面贴装器件,旨在满足对快速切换宽带隙 (WBG) 半导体日益增长的需求,这些半导体可在更高的电压、温度和频率下工作。这些电容器采用KEMET坚固耐用的专有C0G/NPO贱金属电极 (BME) 电介质系统,非常适合对效率要求极高的电源转换器和逆变器。KC-LINK电容器具有低有效串联电阻 (ESR) 和低热阻,可在高纹波电流下工作,且电容与直流电压无关,电容与温度的变化可忽略不计。这些电容的工作温度高达+150°C,因此可以在需要最小冷却的高功率密度应用中靠近快速开关半导体进行安装 。与其他介电技术相比,KC-LINK C0G介电技术还具有较高的机械坚固性,因此无需引线框架即可安装电容。这降低了有效串联电感 (ESL),从而扩大了工作频率范围,进一步实现了小型化。为了提高可靠性,KC-LINK采用柔性终端技术,与标准终端系统相比,具有出色的弯曲性能,解决了MLCC弯曲裂纹的主要故障。
特性
- 商业和汽车级 (AEC-Q200)
- 高纹波电流能力
- 超低ESR和ESL
- 1812、2220和3640 EIA封装尺寸
- 4.7nF至220nF的电容范围
- 500VDC至2000VDC的电压范围
- 出色的热稳定性
- 柔性终端选项
- >10MHz的高频操作
- 电容不随电压变化
- 无压电噪声
- -55°C至+150°C的工作温度范围
- 符合RoHS标准且无铅
应用
- 宽带隙 (WBG)、碳化硅 (SiC) 和氮化镓 (GaN) 系统
- 电动车/混合动力车(驱动系统、充电)
- 无线充电
- 光伏系统
- 功率转换器
- 逆变器
- LLC谐振转换器
- DC link
- 缓冲器
典型性能
视频
框图
资源
发布日期: 2018-01-15
| 更新日期: 2025-11-06
