Littelfuse SP1012 TVS 二极管阵列 (SPA™ 产品系列
Littelfuse SP1012, from the the SPA™ Family of Products, is a miniature 5-channel bidrectional TVS Diode Array that provides ESD protection for data lines. Packaged in a 0402 footprint, this diode array includes five ESD diodes in the space of one. With the highest number of ESD diodes available in the market in a package size less than a square millimeter, SP1012 saves on PCB space and costs. The series safely absorbs repetitive ESD strikes at the maximum IEC61000-4-2 specified level without performance degradation. SP1012 diode has a bidirectional configuration which provides ESD protection for data lines with AC signals.特性
- Superior ESD protection
- ESD, IEC61000-4-2, ±15kV contact, ±30kV air
- EFT, IEC61000-4-4,40A (5/50ns)
- Lightning protection, IEC61000-4-5, 3.0A (tp=8/20μs)
- Highest density TVS array available
- Very low dynamic resistance of 0.48Ω
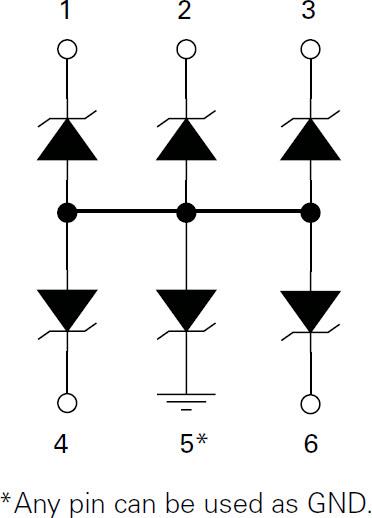
- Flexible ground connection; any I/O pad will work
- Permits back-to-back 6V standoff
- 5 channels of protection in a 0.94mm x 0.61mm footprint
应用
- Smart phones
- Mobile phones
- Wearable technology
- Touchscreen controllers
- SIM card interfaces
Functional Block Diagram
视频
Additional Resources
发布日期: 2014-10-08
| 更新日期: 2022-03-11
