Texas Instruments OPA1688 SoundPlus™ 音频放大器

Texas Instruments OPA1688 SoundPlus™ 音频放大器

Texas Instruments OPA1688 SoundPlus™ 音频放大器是 36V 单电源、低噪声运算放大器,能够在 4.5V (±2.25V) 至 36V (±18V) 电压范围工作。 这些高压音频运算放大器与 OPA16xx 器件共同使用,具有一系列带宽、噪声和功率选项,可满足广大应用的需求。OPA 1688 采用微型封装,具有低偏移、漂移和静态电流。这些器件还提供宽带宽、快速转换率和高输出电流驱动能力。双和四通道版本都具有同样的规格,可最大程度提高设计灵活性。超出供电轨的输入信号不会导致反相。在正常运行中,输入电压可在低于负轨100mV和2V顶轨以内的情况下运行。

特性
  • THD+N、50mW、32Ω、1kHz、-109dB
  • 宽幅供电范围
    • +4.5V 至 +36V,2.25V 至 18V
  • 低失调电压:±0.25mV
  • 低偏置漂移:±0.5µV/°C
  • 增益带宽:10MHz
  • 低输入偏流:±10pA
  • 低静态电流:各放大器1.6mA
  • 低噪声:8nV/√Hz
  • EMI 和 RFI 过滤输入
  • 输入范围包括负电源
  • 输入范围运行至正电源
  • 轨到轨输出
  • 高共模抑制:120dB
  • 工业标准封装
    • SOIC-8
  • 微型封装
    • WSON-8
应用
  • 耳机驱动程序
  • 模拟和数字混合
  • 音频效果处理器
  • 传感器放大器
  • 医疗仪器
  • A/V 接收机
  • DVD 和 Blu-Ray™ 播放器
  • 汽车音响系统
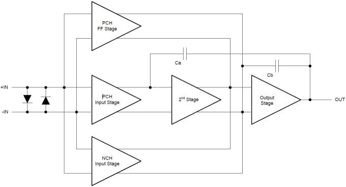
功能框图
功能方框图
开发工具
通用运算放大器评估模块(EVM)

Texas Instruments 通用运算放大器评估模块(EVM) 是通用型空白电路板,简化了对运算放大器的评估。 每一评估模块电路板设计均可快速便捷地构建多个不同电路。每一电路板都有多达四个单独的电路开发区域,可将其分离开来。这些电路板支持 PDIP-8、PDIP-14、PDIP-16、SOIC-8、SOIC-14、SOIC-16、SOT23-6、MSOP-8、MSOP-10、TSSOP-14 和 TSSOP-16 封装。

DIP-Adapter-EVM 评估模块 (EVM)

Texas Instruments DIP-Adapter-EVM 评估模块 (EVM) 提供了一种轻松、低成本建立小型表面贴装集成电路原型的方法。该适配器支持 SOIC-8、TSSOP-8、MSOP-8、SOT23-6、SOT23-5、SOT23-3、SC70-6、SC70-5 和 SOT563-6 封装。可搭配端子板使用,或直接连接现有电路。

电子新闻
  • Texas Instruments
发布日期: 2015-11-23 | 更新日期: 2022-03-11