Texas Instruments TLVx171/TLVx171-Q1 36V通用运算放大器
Texas Instruments TLVx171/TLVx171-Q1 36V通用运算放大器为成本受限的行业和个人电子系统提供一种低功耗选择。这些器件非常适合用于要求工作电压范围是2.7V (±1.35V) 至36V (±18V) 的抗电磁干扰 (EMI) 低噪声单电源运算放大器。单通道TLV171/TLV171-Q1、双通道TLV2171和四通道TLV4171可为电源提供低偏移、漂移、静态电流,同时兼顾高带宽特性。其中任何器件均可采用多种适用于空间受限系统的微型封装,各种封装的技术规格相同,能够最大程度提升设计灵活性。与大部分被指定为仅适用一种电源电压的运算放大器不同,TLVx171/TLVx171-Q1系列适用2.7V至36V的电压范围。TLVx171-Q1器件符合汽车应用类AEC-Q100标准。特性
- 电源电压范围:2.7V至36V、±1.35V至±18V
- 低噪声:16nV/√Hz
- 低偏置漂移:±1µV/°C(典型值)
- 抗电磁干扰 (EMI) 并过滤射频干扰 (RFI) 的输入
- 输入范围包括负电源
- 单位增益稳定:200pF 容性负载
- 轨到轨输出
- 增益带宽:3MHz
- 低静态电流:每个放大器525µA
- 高共模抑制:105dB(典型值)
- 低偏置电流:10pA
应用
- 传感器
- 点钞机
- 交流-直流转换器
- 电源模块
- 逆变器
- 测试设备
- 电池供电仪表
- TFT-LCD驱动电路
- 有源滤波器
Datasheets
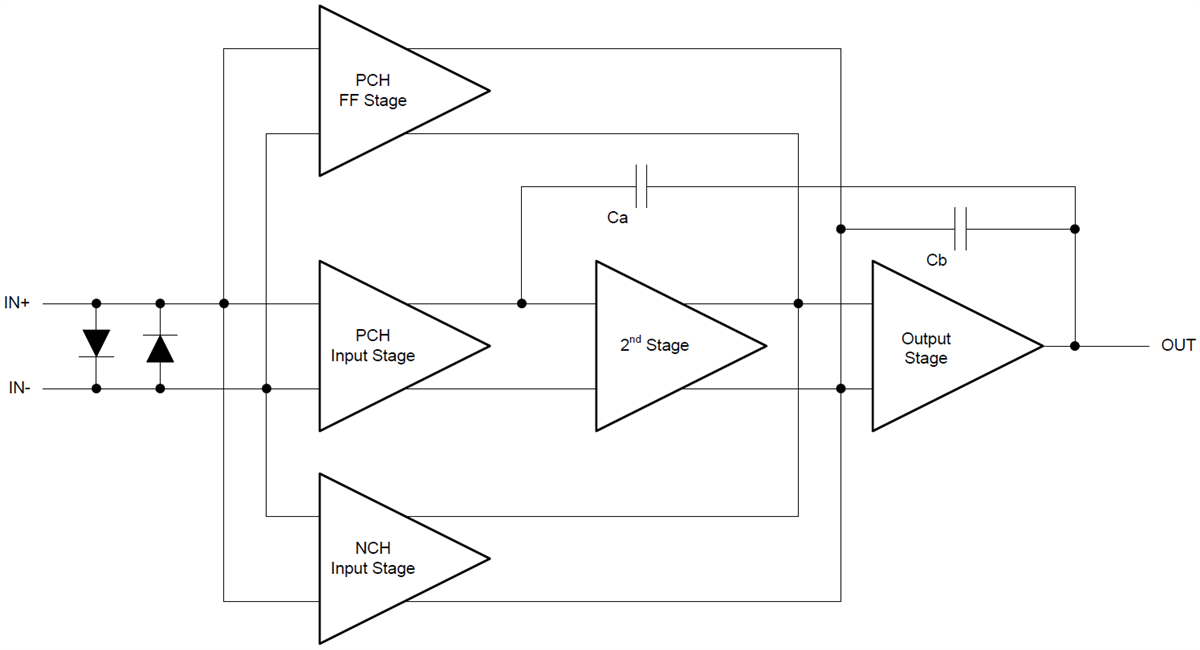
功能框图
发布日期: 2017-04-26
| 更新日期: 2022-04-26
